• Предмет: Алгебра
  • Автор: alibaba40
  • Вопрос задан 10 лет назад

Алгебра, 8 класс. Помогите решить, пожалуйста

Приложения:

Ответы

Ответ дал: No03
0
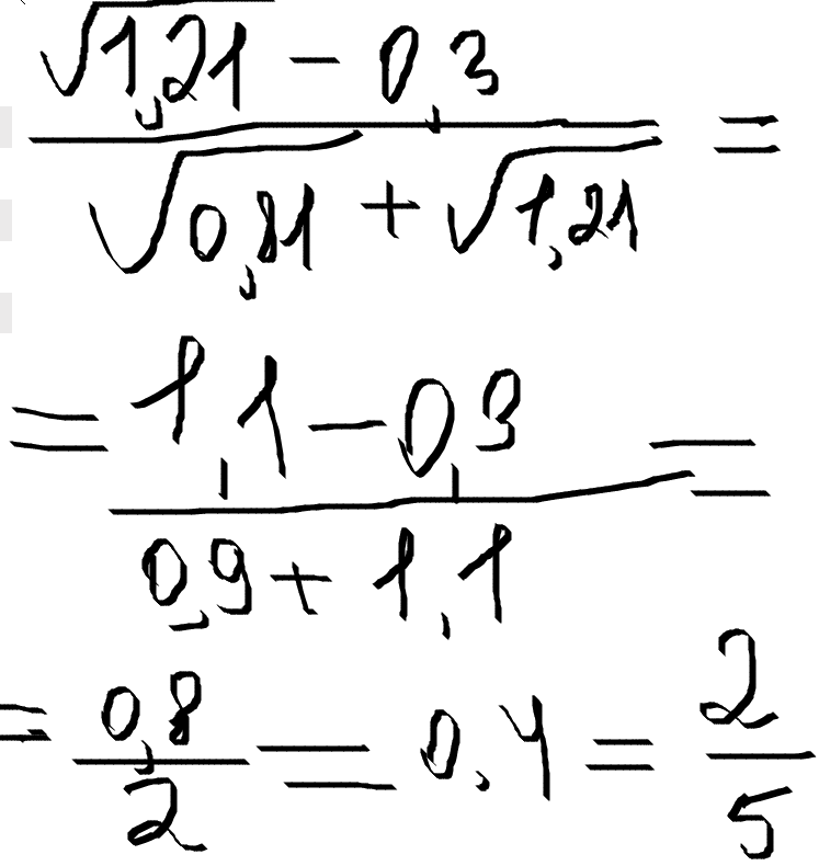
Решение на фото.
(√1,21=1,1
√0,81=0,9)
Приложения:
Вас заинтересует