• Предмет: Математика
  • Автор: niceditu
  • Вопрос задан 10 лет назад

решите, главное решение, ответ не нужен

Приложения:

Ответы

Ответ дал: Даша1235674
0
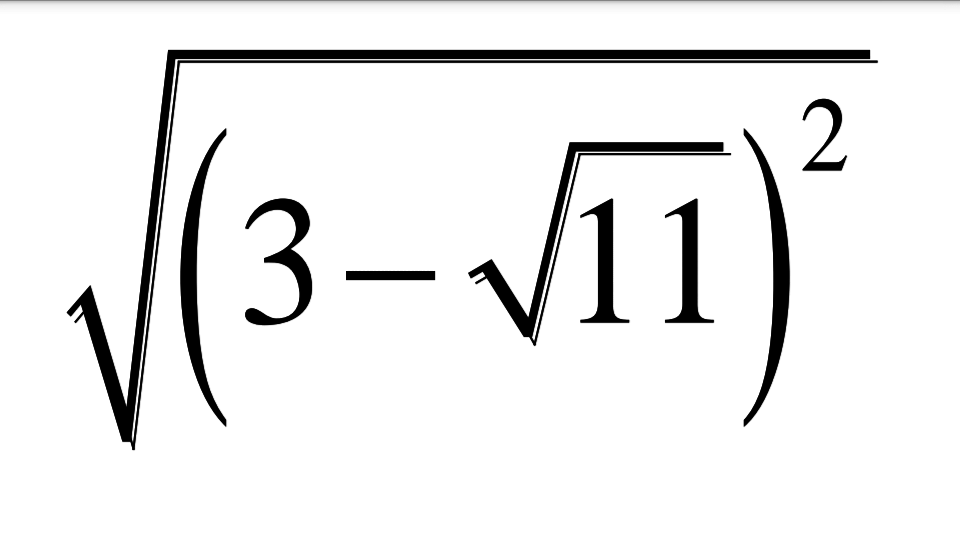
квадратный корень из квадрата числа... чему равен???

Ответ дал: шерзодik
0
корень(3-корень(11))=модуль(3-корень(11)),т.к. корень(11) больше 3.то
ответ:корень(11)-3
Вас заинтересует