• Предмет: Алгебра
  • Автор: vikavikarrr
  • Вопрос задан 10 лет назад

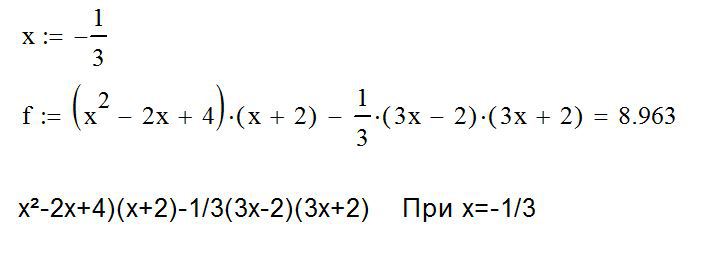
Найдите значение выражения
(х²-2х+4)(х+2)-1/3(3х-2)(3х+2)
При х=-1/3

Ответы

Ответ дал: sanino1023
0
*********************************
Приложения:
Вас заинтересует