• Предмет: Алгебра
  • Автор: h4rdb0t
  • Вопрос задан 11 лет назад

Решите уравнение
x^3+6x^2+12x+8=0 

Ответы

Ответ дал: Аноним
0

x^3+6x^2+12x+8=0  

x(в 3 степени)+6x(во 2 степени)+12x+8=(x+2)(в 3 степени)

(x+2)(в 3 степени)=0

x=-2

 

 Ответ:  x=-2

 

Ответ дал: русская25
0

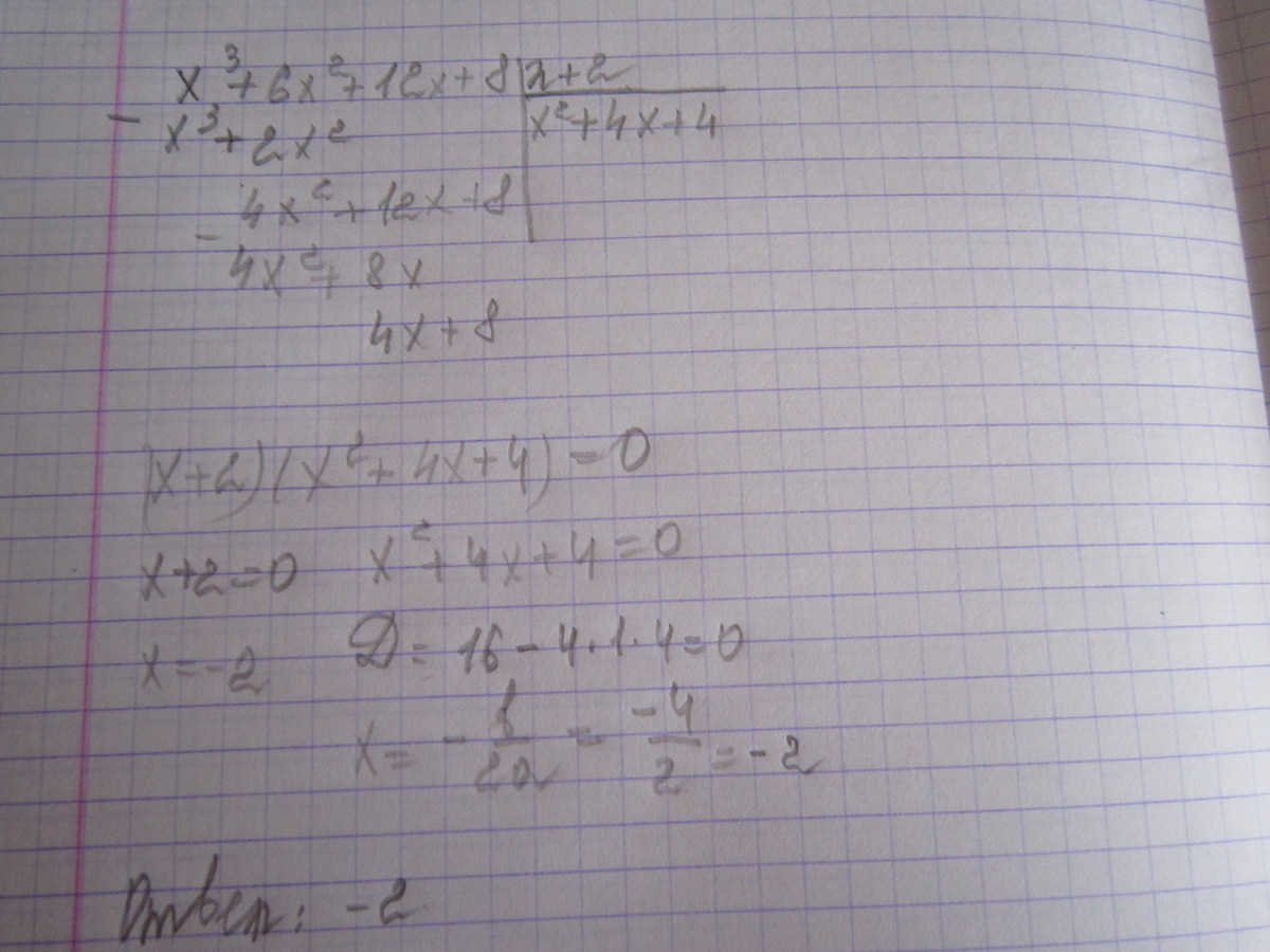
способом деления "уголком"

Приложения:
Вас заинтересует