• Предмет: Алгебра
  • Автор: Анастасия25011
  • Вопрос задан 10 лет назад

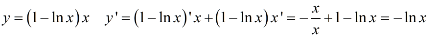
найти производную y=(1-lnx)x

Ответы

Ответ дал: Аноним
0
решение смотри во вложении
Приложения:
Вас заинтересует