• Предмет: Математика
  • Автор: закрась
  • Вопрос задан 10 лет назад

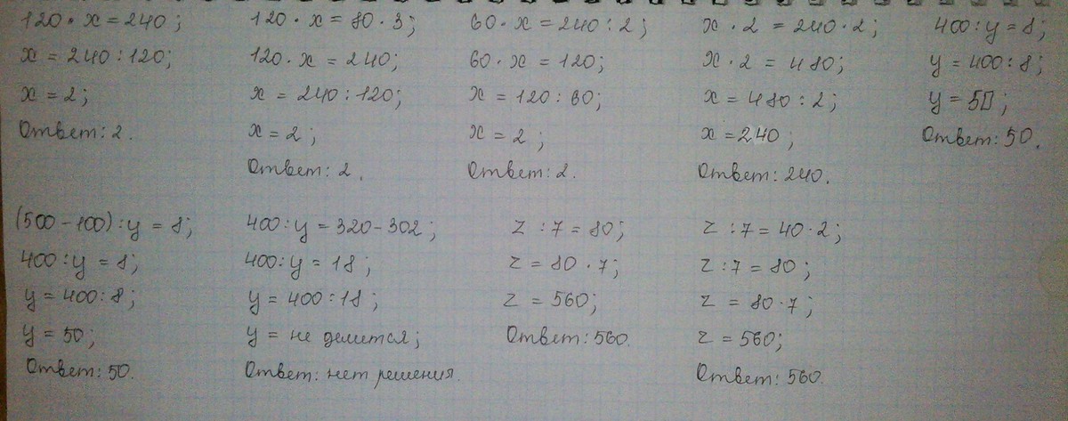
120.x=240,120.x=80.3,60.x=240:2,x.2=240.2,400:y=8,(500-100):y=8,400:y=320-302,z:7=80,z:7=40.2

Ответы

Ответ дал: Пантилей
0
Вот, держи!)
Обращайся ещё)
Приложения:
Ответ дал: закрась
0
спасибочки,все правильно!!!!!!!
Вас заинтересует