• Предмет: Геометрия
  • Автор: alina23alina
  • Вопрос задан 10 лет назад

Дам 25 БАЛЛОВ !!!!!!!!!
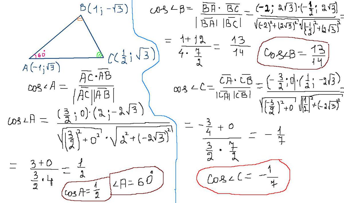
Найти cos углов треугольника ABC если :
A ( -1 ; корень из 3х )
B ( 1 ; - корень из 3х )
C (1/2 ; корень из 3х )

Ответы

Ответ дал: Kalimbet
0
вот полное решение  ))            
                 
Приложения:
Ответ дал: Kalimbet
0
всё верно?
Ответ дал: alina23alina
0
наверно , но все равно огромное спасибо )
Вас заинтересует