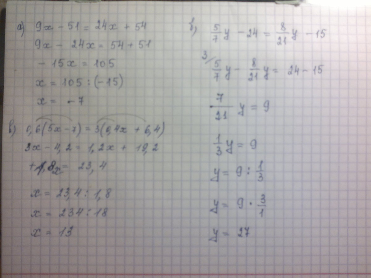
Решите уравнения: а) 9х – 51 = 24х + 54
б) 5/7у – 24 = 8/21у – 15
в) 0,6 (5х – 7) = 3 (0,4х + 6,4)
Ответы
Ответ дал:
0
Пишите, если что не так
Приложения:

Вас заинтересует
2 года назад
2 года назад
7 лет назад
7 лет назад
9 лет назад
10 лет назад