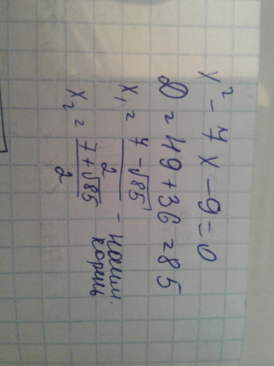
найдите корни уравнения, в ответе укажите меньший из них x2^2-7x-9=0
Если можно то с объяснением:)
Ответы
Ответ дал:
0
......................
Приложения:

Вас заинтересует
2 года назад
7 лет назад
7 лет назад
9 лет назад
9 лет назад
10 лет назад