Ответы
Ответ дал:
0
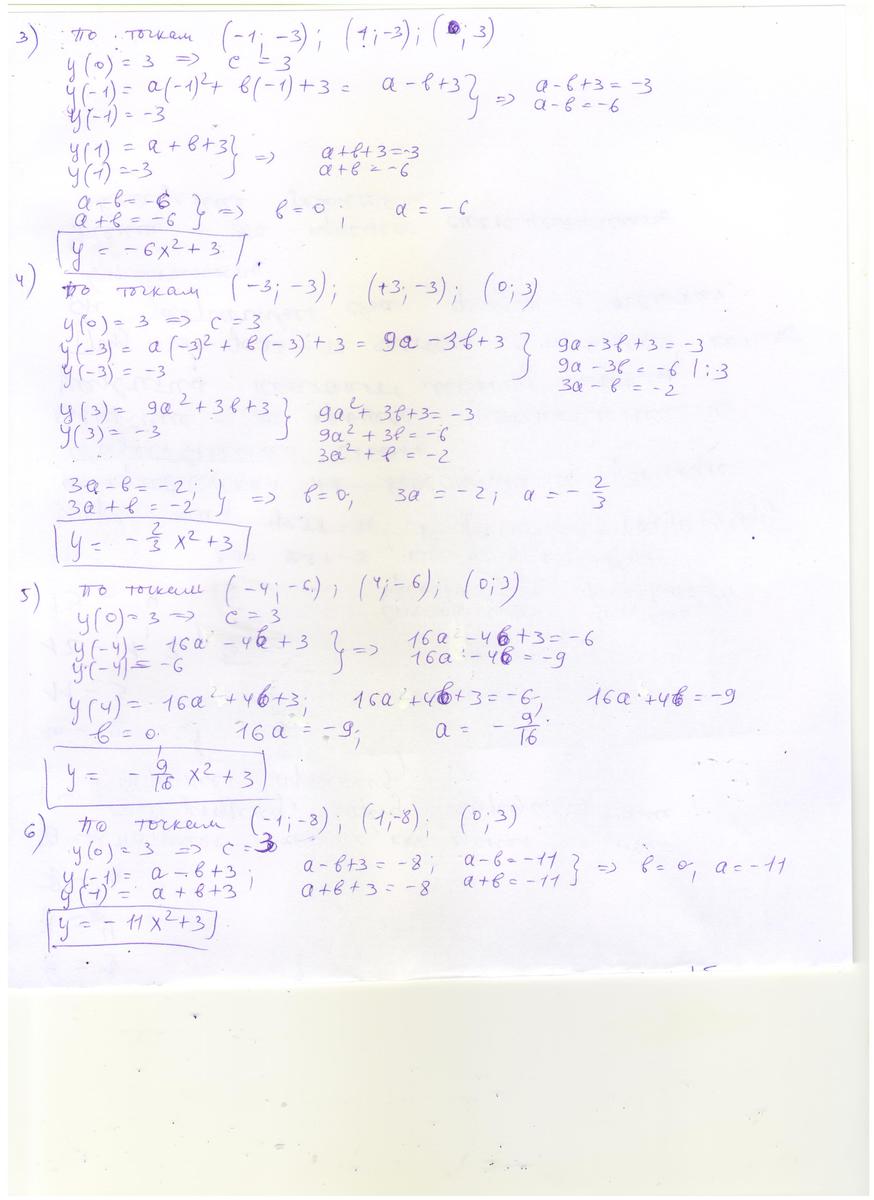
смотри приложенный файл
Приложения:


Вас заинтересует
2 года назад
2 года назад
7 лет назад
9 лет назад
9 лет назад