• Предмет: Математика
  • Автор: LiVictoriaLayt
  • Вопрос задан 10 лет назад

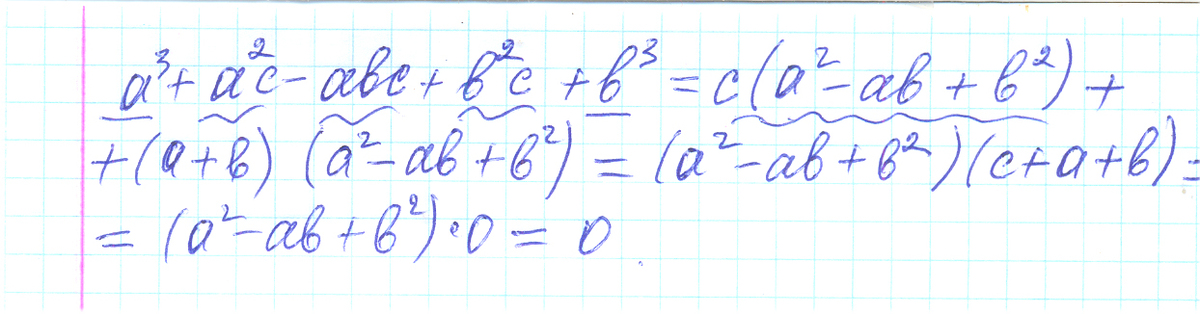
Найдите значение выражения a^3+a^2c-abc+b^2c+b^3, если a+b+c=0

Ответы

Ответ дал: Asila98
0
любое число умножив на 0 мы получаем 0
Приложения:
Ответ дал: LiVictoriaLayt
0
спасибооооо :-*
Ответ дал: LiVictoriaLayt
0
ты спасла меня
Ответ дал: Asila98
0
обращайтесь))
Вас заинтересует