Ответы
Ответ дал:
0
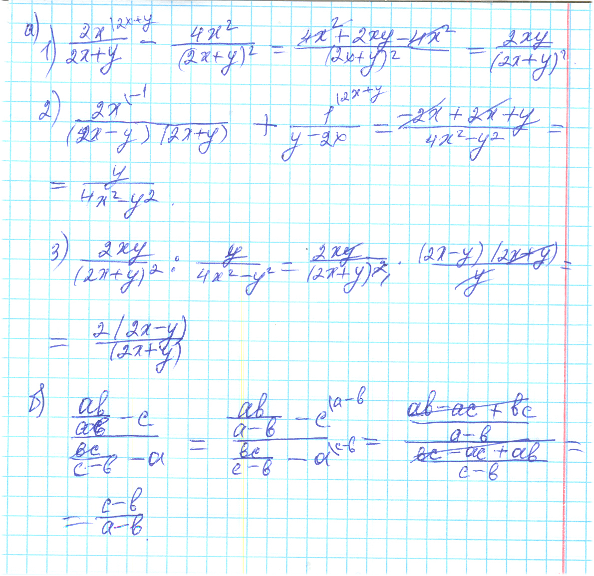
a) (4x -2y) / (2x+y)
b) (c-b) / (a-b)
b) (c-b) / (a-b)
Приложения:

Вас заинтересует
2 года назад
7 лет назад
7 лет назад
9 лет назад
10 лет назад