• Предмет: Математика
  • Автор: LOLOL23
  • Вопрос задан 10 лет назад

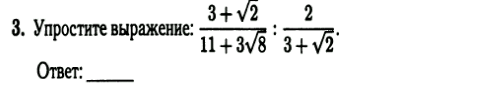
помогите пожалуйста!!!!!!

Приложения:

Ответы

Ответ дал: алиоян
0
8/9 ??? так вышло
 у меня!!
Ответ дал: LOLOL23
0
а можно решение?
Вас заинтересует