Ответы
Ответ дал:
0
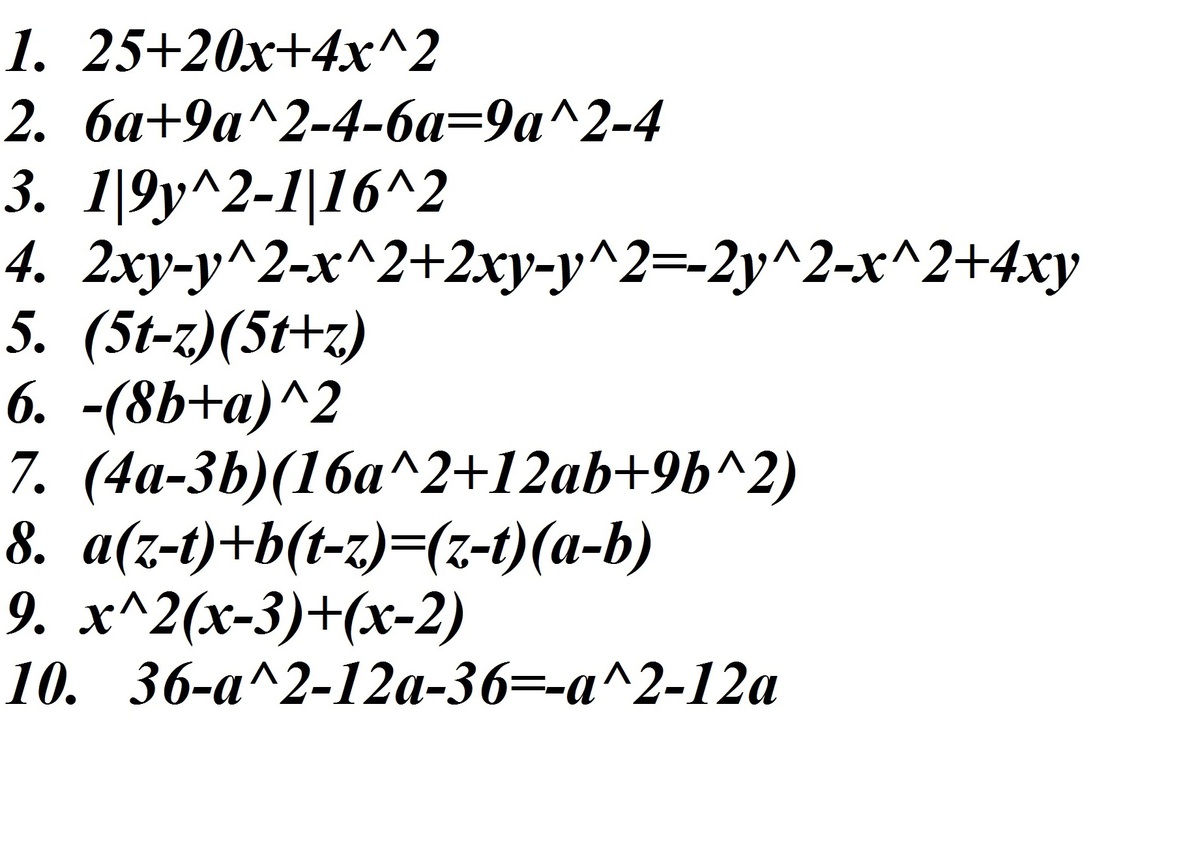
Здесь используются формулы сокращенного умножения,а в 9 наверное надо по схеме Горнера
Приложения:

Вас заинтересует
2 года назад
2 года назад
7 лет назад
7 лет назад
9 лет назад
10 лет назад