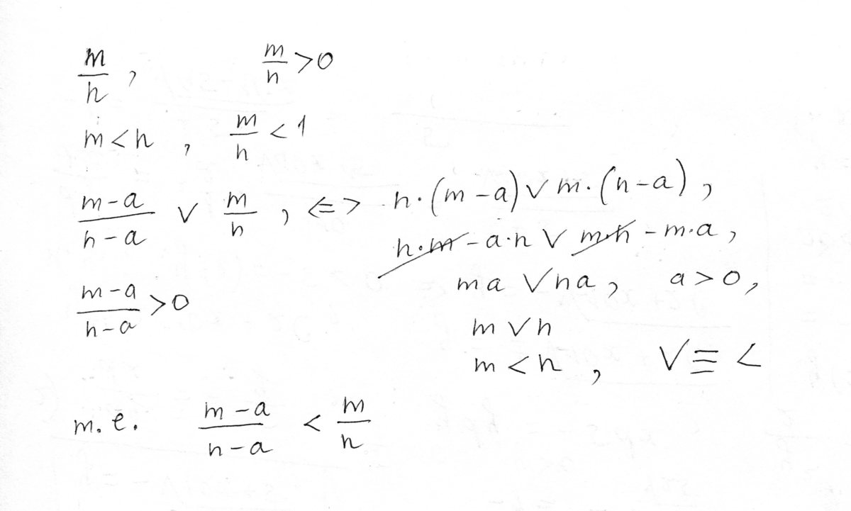
Увеличится или уменьшится правильная дробь, если из её числителя и знаменателя вычесть одно и то же натуральное число? Обоснуйте свой ответ.
Ответы
Ответ дал:
0
если рассматривать только положительные дроби, то уменьшится.
=================>>>>++
=================>>>>++
Приложения:

Вас заинтересует
2 года назад
2 года назад
7 лет назад
9 лет назад
9 лет назад