• Предмет: Математика
  • Автор: Lelik89107802154
  • Вопрос задан 10 лет назад

реши уровнение пожалуйста..............

Приложения:

Ответы

Ответ дал: flashpoint1
0
вот пожалуйста..........................
Приложения:
Ответ дал: Лолололлололо1123
0
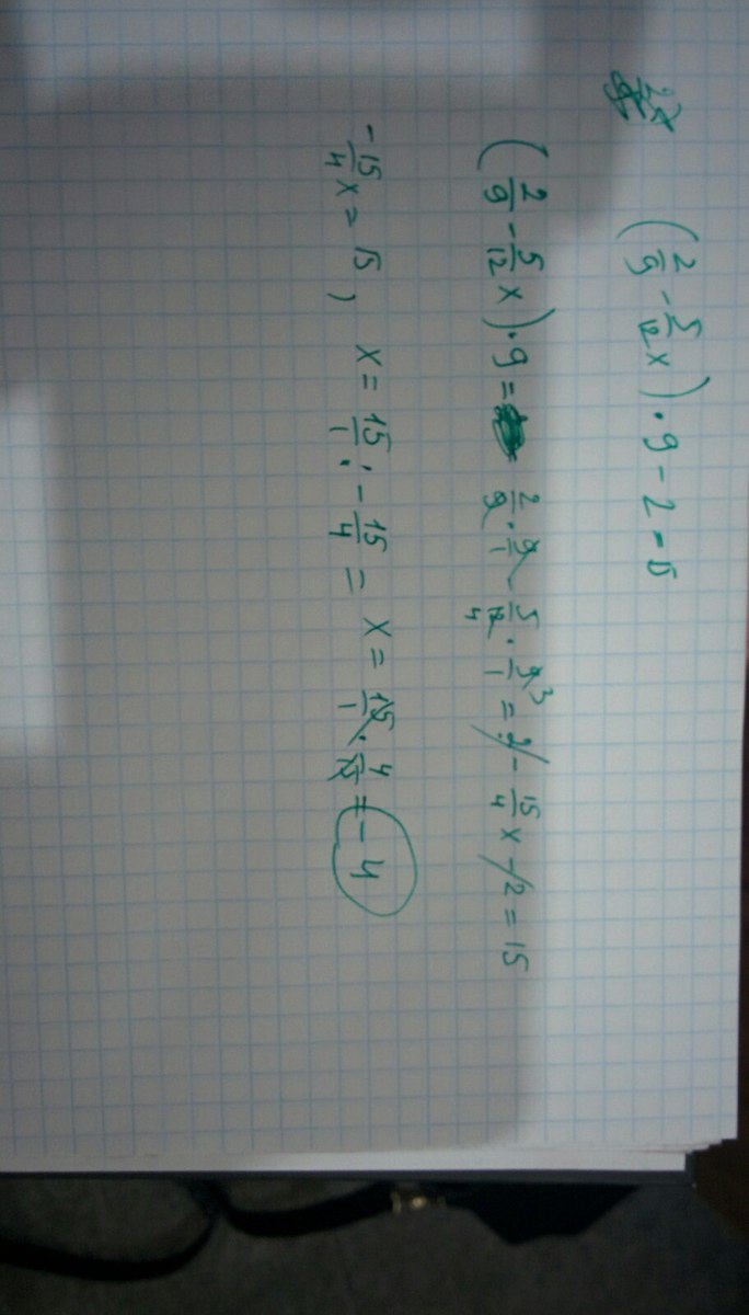
(2/9 - 5/12x) * 9 - 2 = 15 2 - 15/ 4 x - 2 = 15 -15/4x = 15-2+2 -15/4x = 15 x = 15* 4 / -15 x = -4
Приложения:
Вас заинтересует