Ответы
Ответ дал:
0
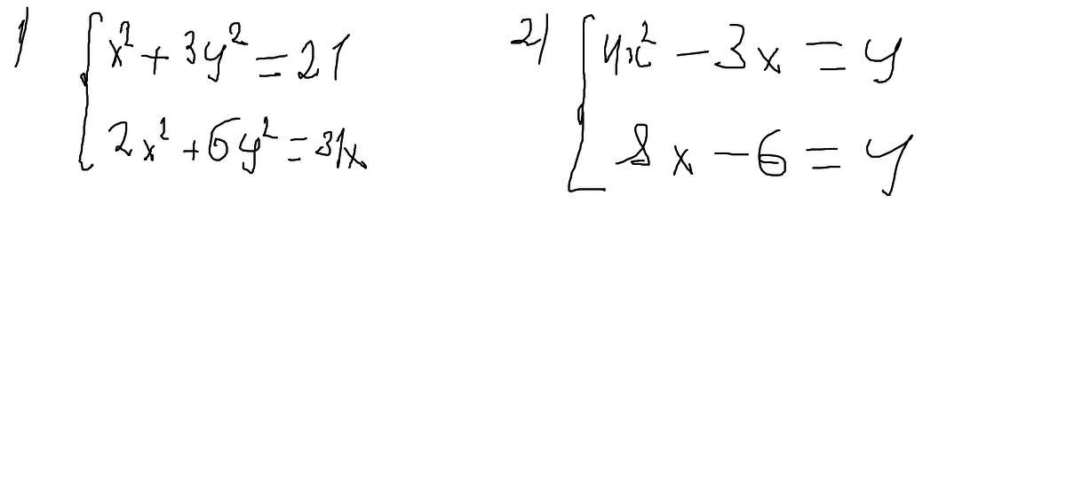
2)
4х²-3х=8х-6
4х²-11х+6=0
D=121-96=25
х1=
х2=
у1=2,25-2,25=0
у2=16-6=10
(0,75;0), (2;10)
Ответ :(0,75;0), (2;10)
4х²-3х=8х-6
4х²-11х+6=0
D=121-96=25
х1=
х2=
у1=2,25-2,25=0
у2=16-6=10
(0,75;0), (2;10)
Ответ :(0,75;0), (2;10)
Вас заинтересует
3 года назад
8 лет назад
10 лет назад
10 лет назад
10 лет назад
10 лет назад