Ответы
Ответ дал:
0
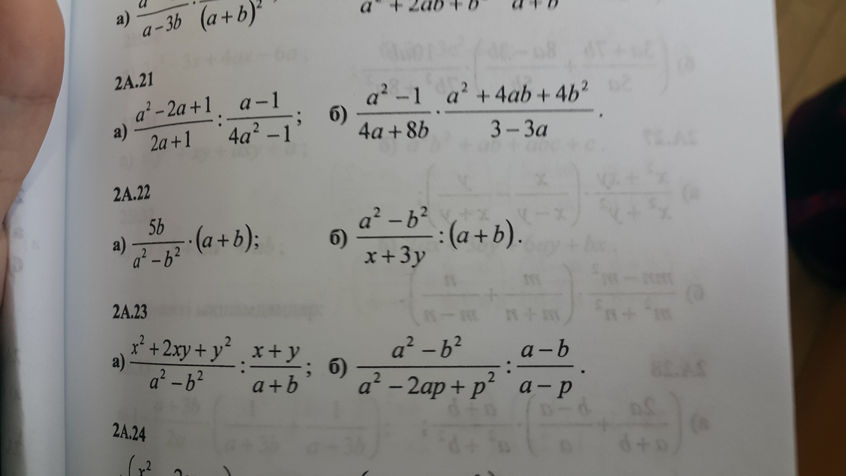
а) 5b/(a+b)(a-b)×(a+b)=5b/(a-b),
к нижней части дроби применяем правило разность квадратов, потом сокращаем обе части на (a+b)
б) (a+b)(a-b)/х+3у÷(a+b)=(a+b)(a-b)/х+3у×1/(a+b)=
(a-b)/х+3у
к верхней части дроби прменяем также формулу разности квадратов, а во второй части выражения меняем знак деления на умножения, но переворачиваем дробь, таким образом у нас получается 1/(a+b). затем сокращаем обе дроби на (a+b)
к нижней части дроби применяем правило разность квадратов, потом сокращаем обе части на (a+b)
б) (a+b)(a-b)/х+3у÷(a+b)=(a+b)(a-b)/х+3у×1/(a+b)=
(a-b)/х+3у
к верхней части дроби прменяем также формулу разности квадратов, а во второй части выражения меняем знак деления на умножения, но переворачиваем дробь, таким образом у нас получается 1/(a+b). затем сокращаем обе дроби на (a+b)
Вас заинтересует
3 года назад
8 лет назад
10 лет назад