• Предмет: Математика
  • Автор: Казак771
  • Вопрос задан 10 лет назад

помогите пожалуйста до 12 часов

Приложения:

Ответы

Ответ дал: Тинифан
0
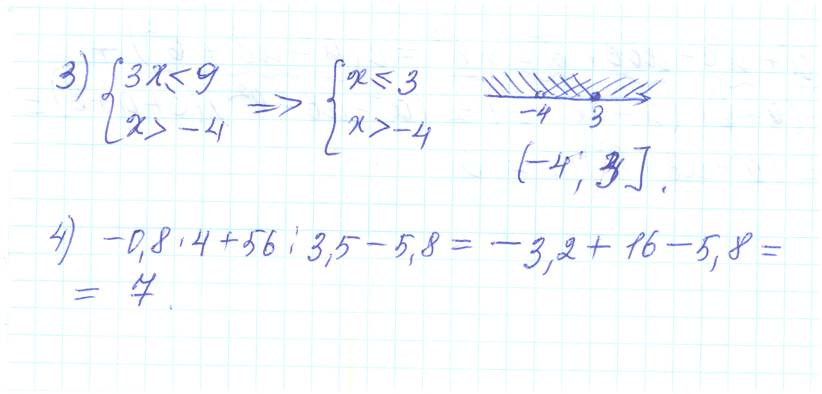
1)-0,8×4=-3,2
2)56:3,5=16
3)-3,2+16=12,8
4)12,8-5,8=7
Ответ дал: Казак771
0
Тинифан фото нажми
Ответ дал: Казак771
0
3 ти эиу помоги
Ответ дал: Казак771
0
3ти помоги
Ответ дал: Asila98
0
3) ( - 4 ; 3 ] или  x ≤ 3 и х > - 4
4) 7
Приложения:
Ответ дал: Тинифан
0
Да
Ответ дал: Тинифан
0
А почему я не поняла ???
Ответ дал: Asila98
0
вы системы уравнений как решаете?
Ответ дал: Тинифан
0
Мы по другому пишем ,решаем
Ответ дал: Asila98
0
у вас есть решение какой -нибудь системы? Если есть сфоткайте
Вас заинтересует