• Предмет: Алгебра
  • Автор: c777
  • Вопрос задан 10 лет назад

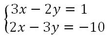
Решите систему уравнений

Приложения:

Ответы

Ответ дал: прр40
0
9х-6у=3
-4х+6у=20

5х=23
9х-6у=3

х=4,6
у=6,4
Вас заинтересует