Ответы
Ответ дал:
0
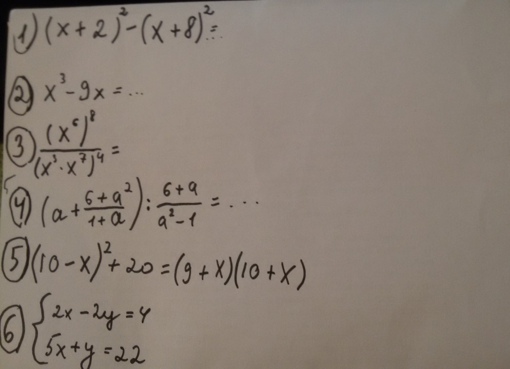
1) (х+2)^2-(х+8)^2=х^2+2x+4-x^2-8x-64=-6x-60
-6x-60
-6x=60
x=-10
2) x^3-9x
x(x^2-9)
x=0
x^2-9=0
x^2=9
x=+3;-3
3) (x^6)8/(X^3*x^7)4
X^48/(x^10)4
x^48/x^40=x^8
5) (10-2)^2+20=(9+x)(10+x)
100-10x+x^2+20=90+9x+10x+x^2
100-90+20=29x
30=29x
x=30/29
-6x-60
-6x=60
x=-10
2) x^3-9x
x(x^2-9)
x=0
x^2-9=0
x^2=9
x=+3;-3
3) (x^6)8/(X^3*x^7)4
X^48/(x^10)4
x^48/x^40=x^8
5) (10-2)^2+20=(9+x)(10+x)
100-10x+x^2+20=90+9x+10x+x^2
100-90+20=29x
30=29x
x=30/29
Ответ дал:
0
спасибо тебе^-^*
Вас заинтересует
3 года назад
3 года назад
8 лет назад
8 лет назад
10 лет назад
10 лет назад
10 лет назад