• Предмет: Математика
  • Автор: морионетка
  • Вопрос задан 10 лет назад

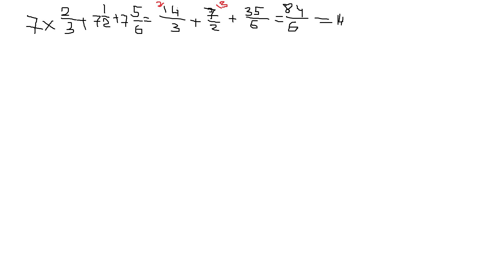
7 целых умножить 2/3 плюс 7 умножить 1/2 плюс 7 и умножить на 5/6 скажите ответ плииииз

Ответы

Ответ дал: BoginyaWolf
0
84 сократить на 6= 14
Приложения:
Вас заинтересует