• Предмет: Математика
  • Автор: Dobrania321
  • Вопрос задан 10 лет назад

ПОМОГИТЕ ПЛИЗ!!!!!!!!!!!!!!!!!!!!!!!!!!!!!!!!!!!!!!!!!!!!!!!!!!!!111
пожалуйста

Приложения:

Ответы

Ответ дал: ДжессикаРиддл12
0
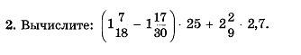
3 1/3 это 3 целых 1 третия. На всякий случай.
2/15 умножить 25 +2 2/9 умножить 2,7 = 3 1/3 + 6 3/10 = 3 10/30 + 6 9/10 = 9 19/30
Вас заинтересует