• Предмет: Математика
  • Автор: милка129
  • Вопрос задан 10 лет назад

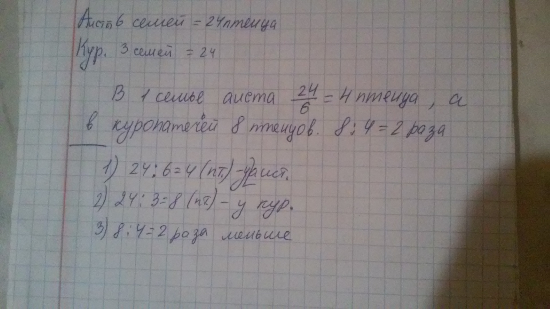
У шести семей аистов поровну птенцов,а всего 24 птенца.У трех семей серых куропаток поровну птенцов,а всего 24 птенца. Во сколько раз в одной семье аистов меньше птенцов,чем в одной семье серых куропаток?

Ответы

Ответ дал: vika666gg
0
24:6=4аистов птенцов в семье (каждой) 24:3=8птенцов у куропаток(в каждой семье) 8:4=2 Ответ :в 2раза
Ответ дал: ekaterinaok2000
0
в 2 раза меньше птенцов
Приложения:
Вас заинтересует