• Предмет: Математика
  • Автор: Аноним
  • Вопрос задан 11 лет назад

Найдите коэффициент произведения:
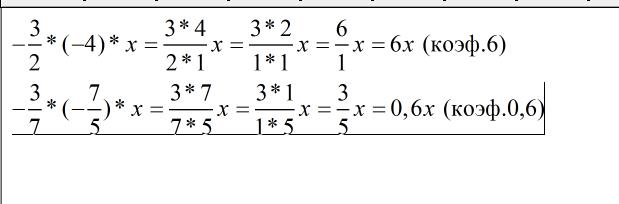
(-3/2)*(-4)*x
Найдите коэффициент произведения:
(-3/7)*(-7/5)*x
Это очень срооочноооо!!!!!

Ответы

Ответ дал: triolana
0

==================================================

Приложения:
Вас заинтересует