• Предмет: Алгебра
  • Автор: Adm1
  • Вопрос задан 10 лет назад

50 баллов не сложно 5 клаасс
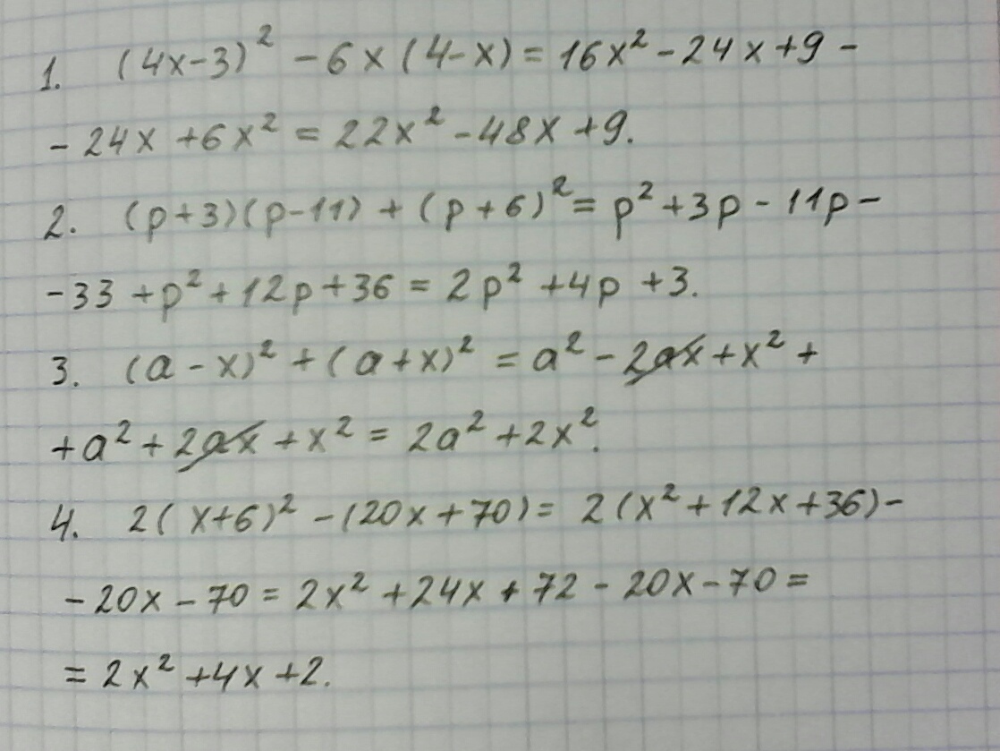
Преобразуется в многочлен
1. (4x-3) в квадрате -6x(4-x)
2. (P+3)(p-11)+(p+6)в квадрате
3. (A-x)в квадрате+ (a+x)в квадрате
4. 2(x+6)в квадрате-(20x+70)

Ответы

Ответ дал: prostotom
0
Решение задания на фото.
Приложения:
Вас заинтересует