• Предмет: Алгебра
  • Автор: volkova0707
  • Вопрос задан 10 лет назад

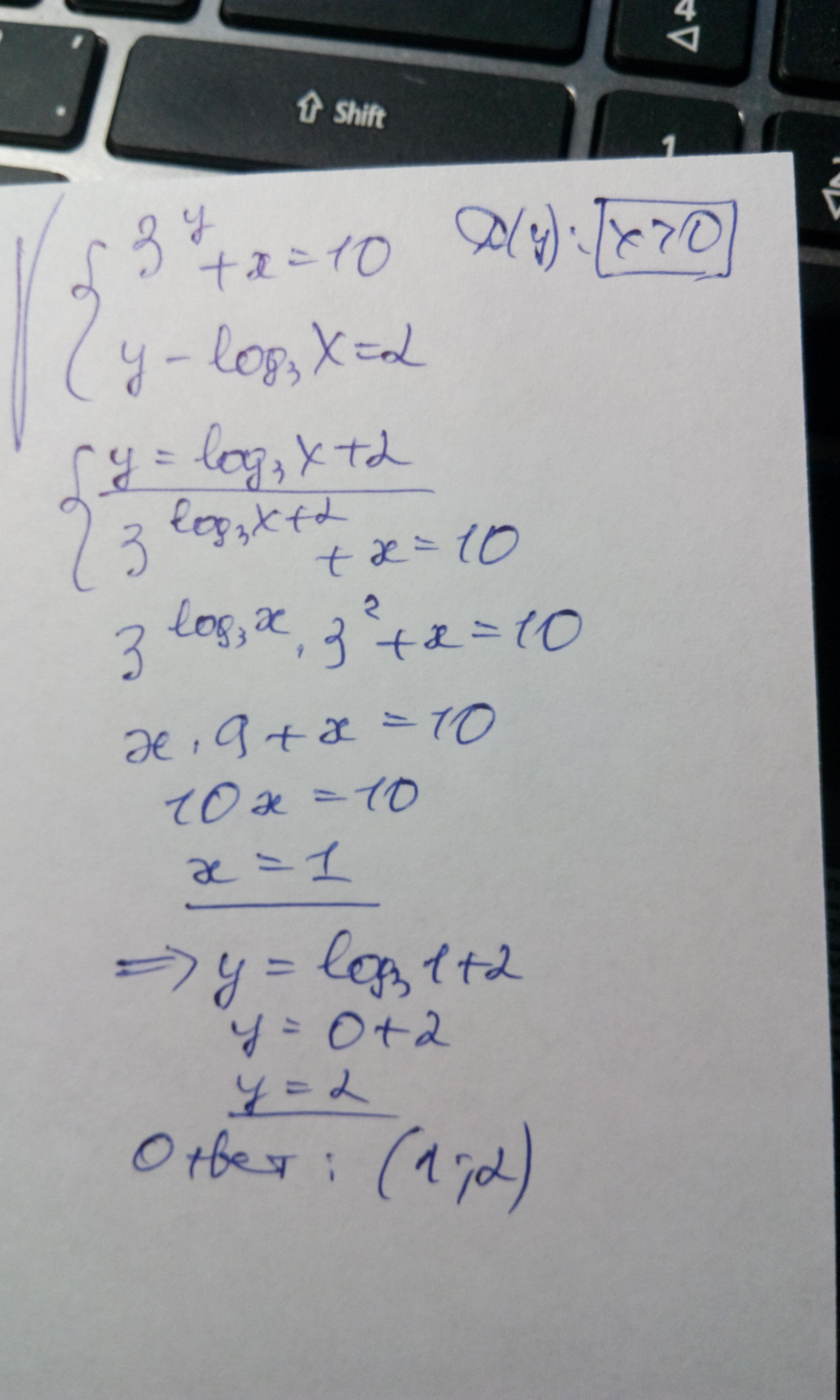
решите систему уравнений....
3^y + x=10
y-log3(x)=2

Ответы

Ответ дал: irinan2014
0
Всё подробно написала в решении.
Приложения:
Вас заинтересует