• Предмет: Алгебра
  • Автор: JohnnyKnoxville
  • Вопрос задан 10 лет назад

5 задание хы по каифу

Приложения:

Ответы

Ответ дал: darpla
0
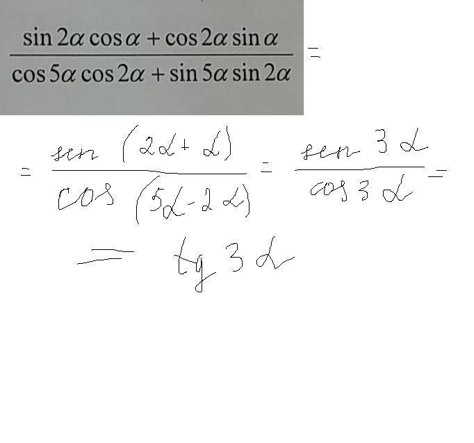
ответ в приложенном файле
Приложения:
Вас заинтересует