• Предмет: Математика
  • Автор: Reg51
  • Вопрос задан 10 лет назад

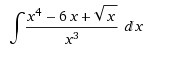
помогите решить неопределенный нтеграл используя свойства интеграла и таблицу

Приложения:

Ответы

Ответ дал: belkavkolese
0
здесь должно быть не менее 20 символов
Приложения:
Вас заинтересует