• Предмет: Алгебра
  • Автор: fafa222
  • Вопрос задан 10 лет назад

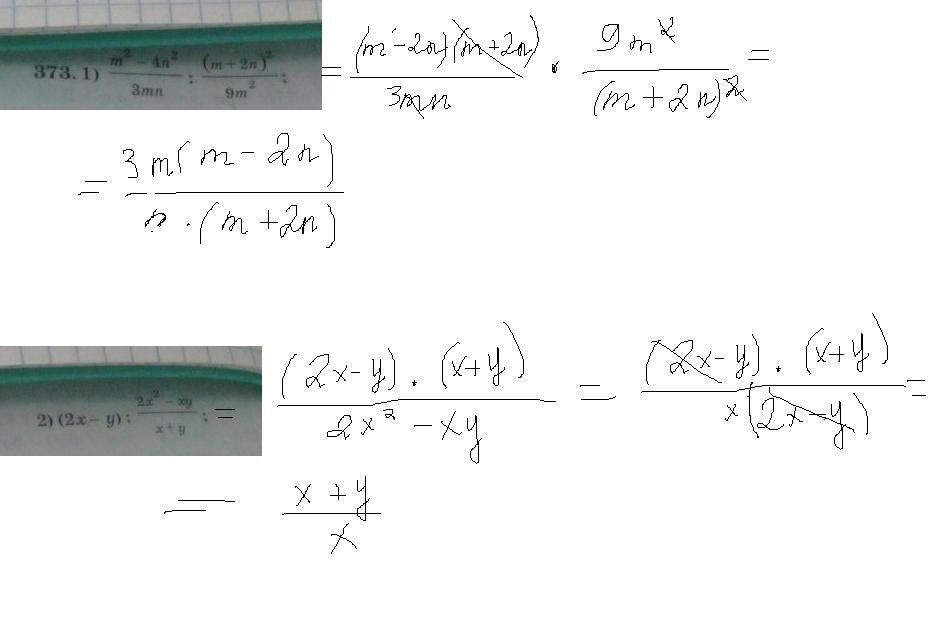
Помогите пожалуйста задание на картинке, только 1 и 2 пример, дам 30 баллов

Приложения:

Ответы

Ответ дал: darpla
0
решение в приложенном файле
Приложения:
Вас заинтересует