• Предмет: Алгебра
  • Автор: lisa201110
  • Вопрос задан 10 лет назад

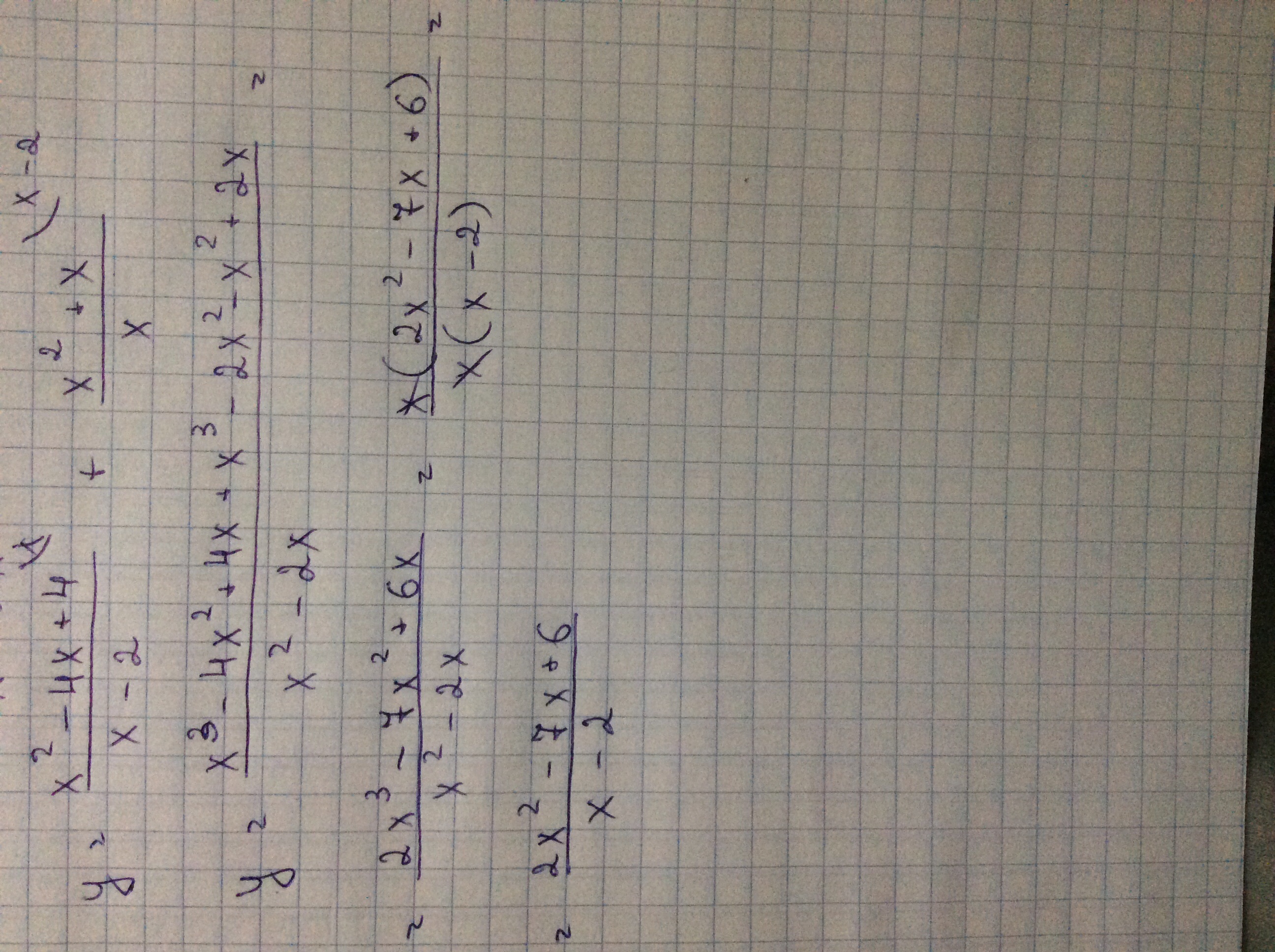
Постройте график функции
у=х^2-4х+4. х^2+Х
_______ + _________
Х-2 Х
Умоляю

Ответы

Ответ дал: SZ123
0
ну смотри, я решила уравнение, ро уже не помню если получается дробь то как строить график Там из числителя парабола а из знаменателя прямая Но я не помню как там делать дальше
Приложения:
Ответ дал: SZ123
0
А все поняла
Ответ дал: SZ123
0
сейчас
Ответ дал: lisa201110
0
там две дроби , в одной знаменателях-2, а во второй х
Вас заинтересует