• Предмет: Математика
  • Автор: валека
  • Вопрос задан 11 лет назад

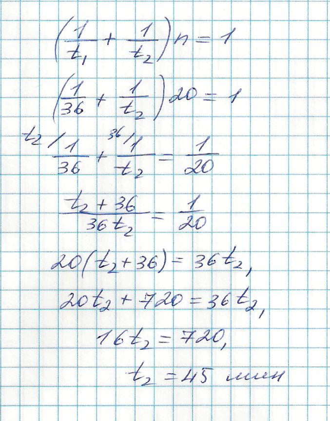
Через первую трубу бак наполняется за 36 мин. За сколько минут наполняется бак через вторую трубу, если две трубы вместе наполняют его за 20 мин?

Ответы

Ответ дал: kaatrin
0

Для решение задач на совместную работу существует формула (1 / t1 + 1 / t2)n=1, где 1 - вся работа, t1 - время первой трубы, t2 - время второй трубы, n - совместное время двух труб. Отсюда получаем (1/36 + 1/t2)20=1. Находим t2. Получается 45. Если есть вопросы, то задавайте.

 

 

 

Приложения:
Вас заинтересует
11 лет назад