За минуту через первую трубу наполняется 1/20 бассейна а через вторую трубу 1/10 бассейна.Вопрос:а) Какую часть бассейна наполнят обе трубы за 1 мин.
Вопрос:б) Какую часть бассейна наполнят обе трубы за 6мин. Вопрос:в)Наполнится ли бассейн через обе трубы за 8мин.
Ответы
Ответ дал:
0
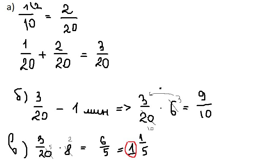
Смотри вложение
а) Я привела вторую дробь к знаменателю = 20, для этого домножила на два. Далее просто сложила две дроби, получилось 3/20
б) если 3/20 набирается за 1 минуту, то для того, чтобы узнать сколько набралось за 6 минут, я умножила на 6. Сократила 6 и 20 на два, при умножении получилось 9/10
в) Аналогично с заданием под буквой б. Только теперь умножила на 8, сократила на 4, получилось 6/5. При этом выделилась целая часть, значит бассейн наполнился.
а) Я привела вторую дробь к знаменателю = 20, для этого домножила на два. Далее просто сложила две дроби, получилось 3/20
б) если 3/20 набирается за 1 минуту, то для того, чтобы узнать сколько набралось за 6 минут, я умножила на 6. Сократила 6 и 20 на два, при умножении получилось 9/10
в) Аналогично с заданием под буквой б. Только теперь умножила на 8, сократила на 4, получилось 6/5. При этом выделилась целая часть, значит бассейн наполнился.
Приложения:

Вас заинтересует
2 года назад
2 года назад
7 лет назад
7 лет назад
9 лет назад
9 лет назад
10 лет назад