• Предмет: Математика
  • Автор: victorhugo
  • Вопрос задан 10 лет назад

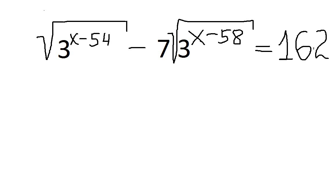
Помогите пожалуйста!!!!!!!!!! х и числа над тройкой это степени

Приложения:

Ответы

Ответ дал: sedinalana
0
3^(0,5x-27)-7*3^(0,5x-29)=162
3^(0,5x-29)*(9-7)=162
3^(0,5x-29)=81
0,5x-29=4
0,5x=33
x=66
Ответ дал: victorhugo
0
спасибо!
Вас заинтересует