Ответы
Ответ дал:
0
Смотри вложение (извини за почерк)
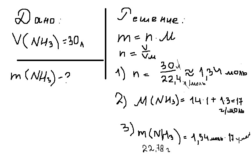
1. Для начала я выписала формулу нахождения массы через молярную и количества вещества ( m = n * M)
2. Далее я выписала формулу нахождения количества вещества через объем и молярный объем ( n = V * VM)
3. Подставила значения в формулу ( Молярный объем всегда равен 22,4 л/моль). Посчитала (округлила число)
4. Нашла молярный объем аммиака через атомную массу каждого вещества.
5. Подставила все в формулу и посчитала.
Ответ: 22,78 г
1. Для начала я выписала формулу нахождения массы через молярную и количества вещества ( m = n * M)
2. Далее я выписала формулу нахождения количества вещества через объем и молярный объем ( n = V * VM)
3. Подставила значения в формулу ( Молярный объем всегда равен 22,4 л/моль). Посчитала (округлила число)
4. Нашла молярный объем аммиака через атомную массу каждого вещества.
5. Подставила все в формулу и посчитала.
Ответ: 22,78 г
Приложения:

Ответ дал:
0
Благодарю!
Вас заинтересует
2 года назад
2 года назад
7 лет назад
7 лет назад
9 лет назад
10 лет назад