• Предмет: Математика
  • Автор: СвиридоваОльга
  • Вопрос задан 10 лет назад

реши и проверь 855:4; 647:3

Ответы

Ответ дал: 4501319
0
Ответ:1)213.75 2)161.75
Ответ дал: alenushka3315
0
неверно.
Ответ дал: alenushka3315
0
1 верно, второе - нет!
Ответ дал: 4501319
0
А я 2 : на 4
Ответ дал: alenushka3315
0
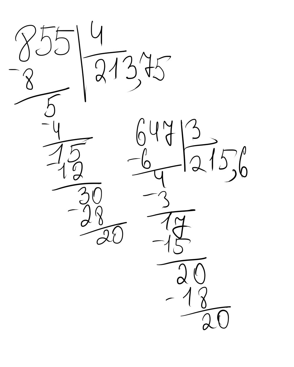
855:4=213,75
647:3≈215,6
Ниже решение столбиком)
Приложения:
Вас заинтересует