• Предмет: Математика
  • Автор: helenaxxl81vk75
  • Вопрос задан 10 лет назад

Помогите срочно надо!!!!!!!

Приложения:

Ответы

Ответ дал: A095AO95
0
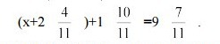
Х+2 4/11=9 7/11-1 10/11.х+2 4/11=7 8/11.х=7 8/11-2 4/11.х=5 4/11
Вас заинтересует