• Предмет: Математика
  • Автор: dimitrivlasov
  • Вопрос задан 10 лет назад

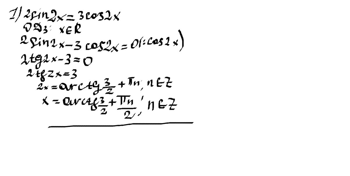
Срооочно решить уравнение 2sin2x=3cos2x

Ответы

Ответ дал: 00Julia00
0
.................решение во вложении 

Приложения:
Ответ дал: dimitrivlasov
0
спасиб)
Ответ дал: 00Julia00
0
не за что )
Вас заинтересует