• Предмет: Математика
  • Автор: Аноним
  • Вопрос задан 10 лет назад

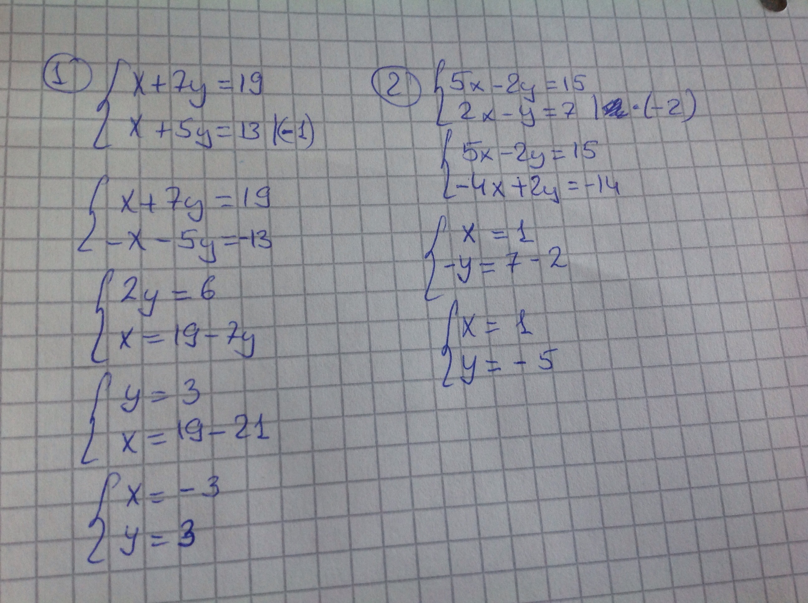
Найдите решение системы уравнений способом сложения:
{x+7y=19
{x+5y=13


{5x-2y=15
{2x-y=7

Ответы

Ответ дал: Marik5Komarik
0
Надеюсь, понятно. Ответы : -3;3 и 1;-5
Приложения:
Ответ дал: Аноним
0
Cgfcb,j juhjvyjt0!
Ответ дал: Аноним
0
Спасибо огромное!)
Вас заинтересует