30 БАЛЛОВ
СРОЧНО!!!!!
Решите примеры с дробями
3/5-1/4+1/3=
1/3-1/9+1/6=
(2/3+1/9)-13/18=
3/4-1/2+7/8=
5/6-2/3+1/4=
1/3-(1/9+1/6)=
Решите уравнения с дробями
1/8+x=3/5
4/5-b=1/6
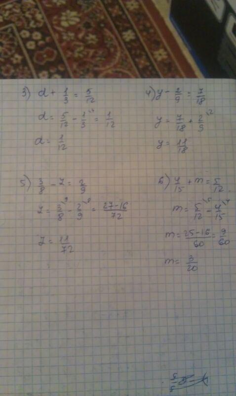
d+1/3=5/12
y-2/9=7/18
3/8-z=2/9
4/15+m=5/12
Ответы
Ответ дал:
0
Решите примеры с дробями
3/5-1/4+1/3=
1/3-1/9+1/6=
(2/3+1/9)-13/18=
3/4-1/2+7/8=
5/6-2/3+1/4=
1/3-(1/9+1/6)=
Решите уравнения с дробями
1/8+x=3/5
4/5-b=1/6
d+1/3=5/12
y-2/9=7/18
3/8-z=2/9
4/15+m=5/12
3/5-1/4+1/3=
1/3-1/9+1/6=
(2/3+1/9)-13/18=
3/4-1/2+7/8=
5/6-2/3+1/4=
1/3-(1/9+1/6)=
Решите уравнения с дробями
1/8+x=3/5
4/5-b=1/6
d+1/3=5/12
y-2/9=7/18
3/8-z=2/9
4/15+m=5/12
Приложения:


Вас заинтересует
2 года назад
7 лет назад
7 лет назад
9 лет назад
9 лет назад
10 лет назад
10 лет назад