• Предмет: Алгебра
  • Автор: WWWMagistr
  • Вопрос задан 10 лет назад

Помогите пожалуйста. Алгебра, 8 Класс.
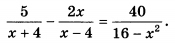
Уравнение:
(5/x+4)-(2x/x-4)=40/16-x^2
Картинкой:

Приложения:

Ответы

Ответ дал: Неуловимыйтип
0
Решение в приложенном фале
Приложения:
Вас заинтересует