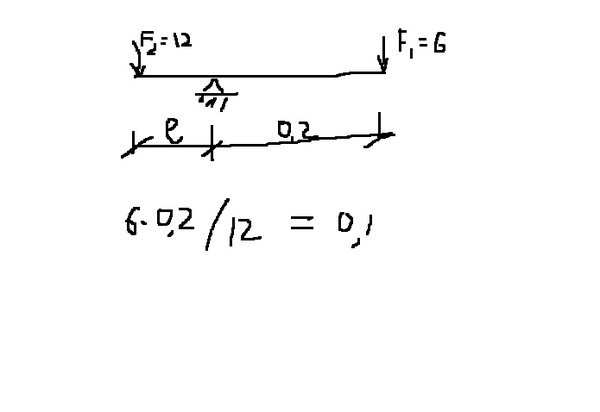
рычаг находится в равновесии . сила, вращающая рычаг по часовой стрелки, равна 6Н , а её плечо 0,2м . Чему равно плечо силы 12Н , вращающий рычаг против часовой стрелки?
Ответы
Ответ дал:
0
Эмм,как то так,надеюсь помогла тебе))
Приложения:

Вас заинтересует
2 года назад
2 года назад
7 лет назад
9 лет назад
10 лет назад