Ответы
Ответ дал:
0
////////////////////////////////////
Приложения:

Ответ дал:
0
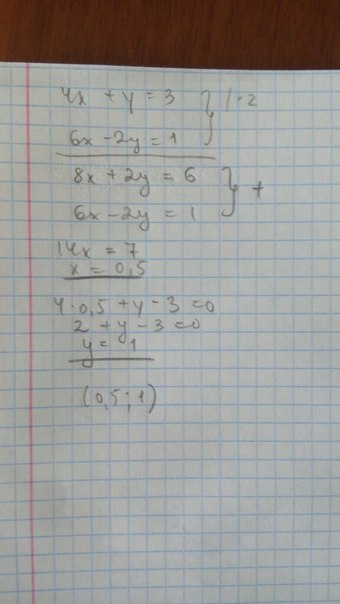
4x+y=3
6x-2y=1
___________
y=3-4x
6x-2(3-4x)=1
___________
решаем нижнее, получаем: 6x-6+8x-1=0 ⇒14x=7 ⇒x=0,5
подставляем х и получаем y=3-4*0,5=1
x=0,5
y=1
6x-2y=1
___________
y=3-4x
6x-2(3-4x)=1
___________
решаем нижнее, получаем: 6x-6+8x-1=0 ⇒14x=7 ⇒x=0,5
подставляем х и получаем y=3-4*0,5=1
x=0,5
y=1
Приложения:

Вас заинтересует
2 года назад
2 года назад
7 лет назад
7 лет назад
9 лет назад
9 лет назад
10 лет назад