Ответы
Ответ дал:
0
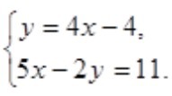
5х - 2( 4х - 4 ) = 11
5х - 8х + 8 = 11
- 3х = 3
х = - 1
y = 4•( - 1 ) - 4 = - 8
Ответ ( - 1 ; - 8 )
5х - 8х + 8 = 11
- 3х = 3
х = - 1
y = 4•( - 1 ) - 4 = - 8
Ответ ( - 1 ; - 8 )
Вас заинтересует
2 года назад
2 года назад
8 лет назад
8 лет назад
10 лет назад
10 лет назад
10 лет назад