Ответы
Ответ дал:
0
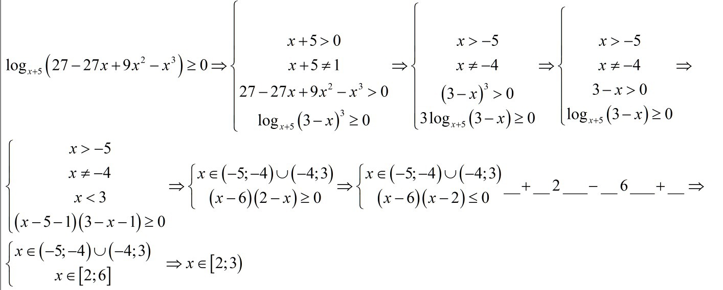
используем метод рационализации:
logₐb≥0⇒(a-1)(b-1)≥0 a>0 a≠1 b>0, где a,b - функции от x
решение смотри во вложении
logₐb≥0⇒(a-1)(b-1)≥0 a>0 a≠1 b>0, где a,b - функции от x
решение смотри во вложении
Приложения:

Вас заинтересует
2 года назад
2 года назад
7 лет назад
9 лет назад
9 лет назад
10 лет назад