За 7 кг апельсинов и 4 кг лимонов заплатили 68 руб.Сколько стоит 1 кг апельсинов и 1 кг лимонов,если 5 кг апельсинов дороже чем 2 кг лимонов на 17 руб
Ответы
Ответ дал:
0
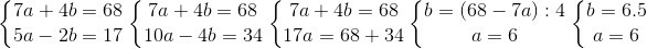
Пусть а -- стоимость 1 кг апельсинов, а b --- стоимость 1 кг лимонов.
Составим и решим систему:
Ответ: 6.5 рублей стоит 1кг апельсинов а , 1кг лимонов стоит 6 руб.
Составим и решим систему:
Ответ: 6.5 рублей стоит 1кг апельсинов а , 1кг лимонов стоит 6 руб.
Приложения:
Ответ дал:
0
x (руб) - 1 кг апельсинов
у (руб) - 1 кг лимонов
{7x+4y=68
{5x-2y=17 | умножим на "2"
{7x+4y=68
{10x-4y=34
Складываем уравнения системы:
7x+10x+4y-4y=68+34
17x=102
x=6 (руб) - 1 кг апельсинов
7*6+4у=68
4у=68-42
4у=26
у=6,5 (руб) - 1 кг лимонов
Ответ: 6 руб. и 6,5 руб.
у (руб) - 1 кг лимонов
{7x+4y=68
{5x-2y=17 | умножим на "2"
{7x+4y=68
{10x-4y=34
Складываем уравнения системы:
7x+10x+4y-4y=68+34
17x=102
x=6 (руб) - 1 кг апельсинов
7*6+4у=68
4у=68-42
4у=26
у=6,5 (руб) - 1 кг лимонов
Ответ: 6 руб. и 6,5 руб.
Приложения:
Ответ дал:
0
Большое спасибо
Вас заинтересует
3 года назад
3 года назад
8 лет назад
8 лет назад
10 лет назад
10 лет назад
10 лет назад