• Предмет: Математика
  • Автор: geni08101998
  • Вопрос задан 10 лет назад

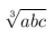
Среднее геометрическое трёх чисел a , b и c вычисляется по формуле (формула во вложении)
. Вычислите среднее геометрическое чисел 4, 18, 81

Приложения:

Ответы

Ответ дал: Andruha35rus
0
Кубический корень произведения этих чисел равен=18
Ответ дал: geni08101998
0
решение можно?
Вас заинтересует