Ответы
Ответ дал:
0
А2-4
А3- 4
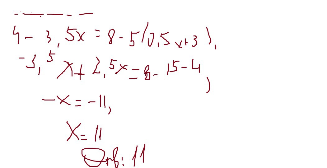
А4 фоточка
А5 150/100=1,5 это 1 процент
(180-150)/1,5=20 на 20процентов 3)20%
А7 фоточка
А3- 4
А4 фоточка
А5 150/100=1,5 это 1 процент
(180-150)/1,5=20 на 20процентов 3)20%
А7 фоточка
Приложения:


Ответ дал:
0
Спс а что такое фото ка?
Ответ дал:
0
Не уходи!!!!!!
Ответ дал:
0
Пж
Ответ дал:
0
Где?
Ответ дал:
0
Фоточка - фото решения.
Вас заинтересует
7 лет назад
9 лет назад
9 лет назад
10 лет назад