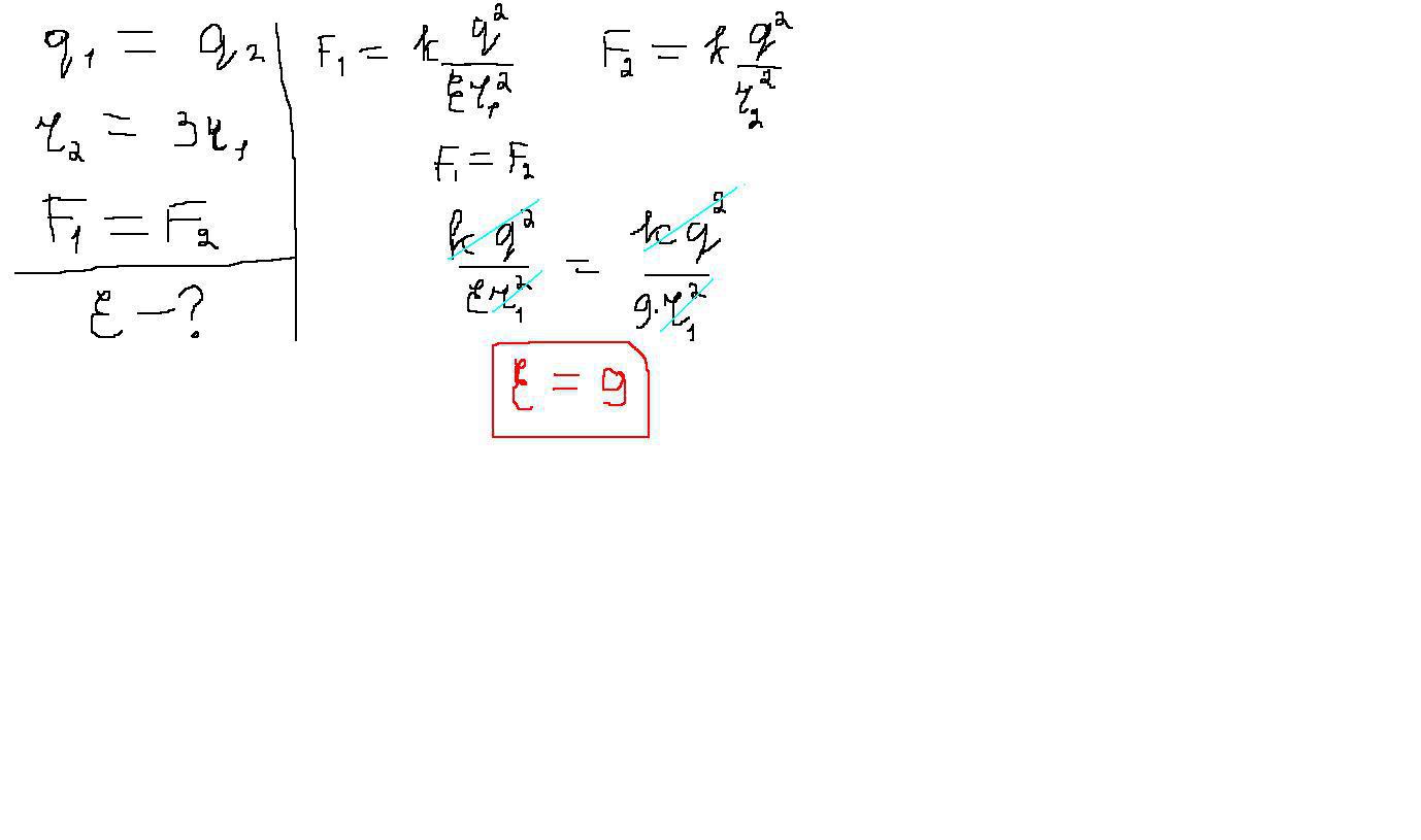
2 одинаковых заряженных шарика находились в жидком диэлектрике На некотором расстоянии затем их переместили в воздух увеличив расстояние между ними в 3 раза если сила действующая на каждый шарик не изменилась то диэлектрическая проницаемость среды равна
Ответы
Ответ дал:
0
вот тут полное решение
Приложения:

Ответ дал:
0
я не умею)
Ответ дал:
0
научите
Ответ дал:
0
жаль)
Ответ дал:
0
даже не знаю, я лишь решаю, сам помощи не просил)) может нужно дать наибольшую оценку или 5звезд:D
Ответ дал:
0
правда не знаю)
Вас заинтересует
2 года назад
2 года назад
7 лет назад
9 лет назад
9 лет назад