• Предмет: Алгебра
  • Автор: yuliya91
  • Вопрос задан 10 лет назад

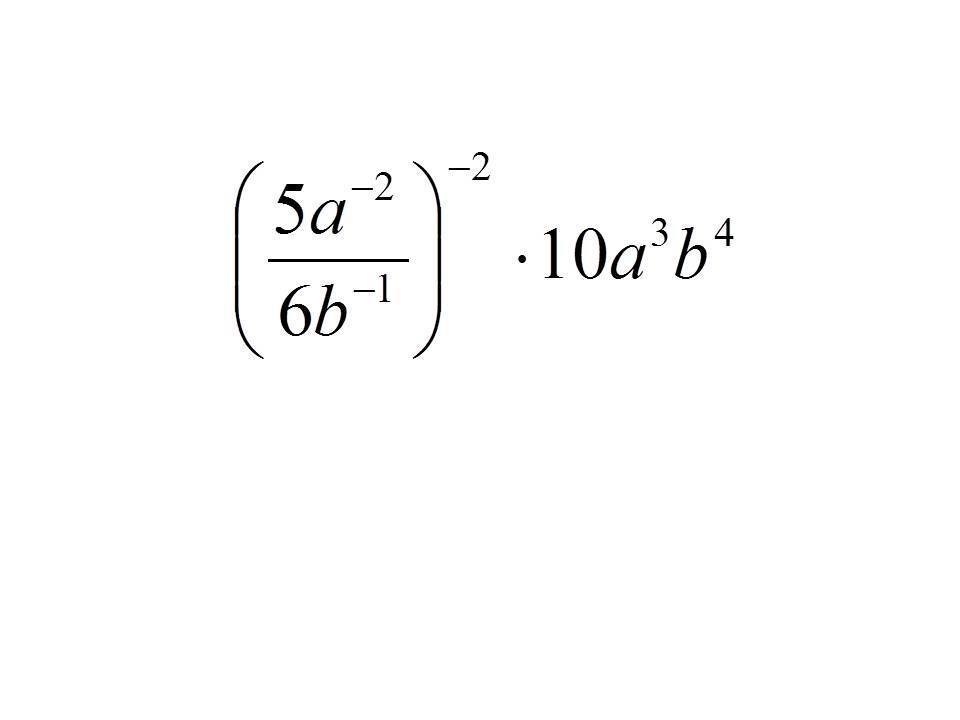
Преобразуйте выражение. 8 класс Алгебра

Приложения:

Ответы

Ответ дал: litanalove
0
=(6b/5a²)^-2 *10a^3b^4 =(5a²/6b)² *10a^3b^4 =(25a^4 *10a^3b^4) /36b² =(25*5a^7b²) /18 =125a^7b² /18
Ответ дал: yuliya91
0
Там другой ответ
Вас заинтересует